
受委托,我公司將于2022年4月25日上午10時在金拍網平臺https://www.jinpaiwang.com.cn以網絡競價的方式公開處置冰淇淋熱轉印打碼機一批 (具體見標的詳情表)。
標的起拍價 567000元(含13%稅),標的設有保留價,競買保證金10萬元。
.jpg)
.jpg)


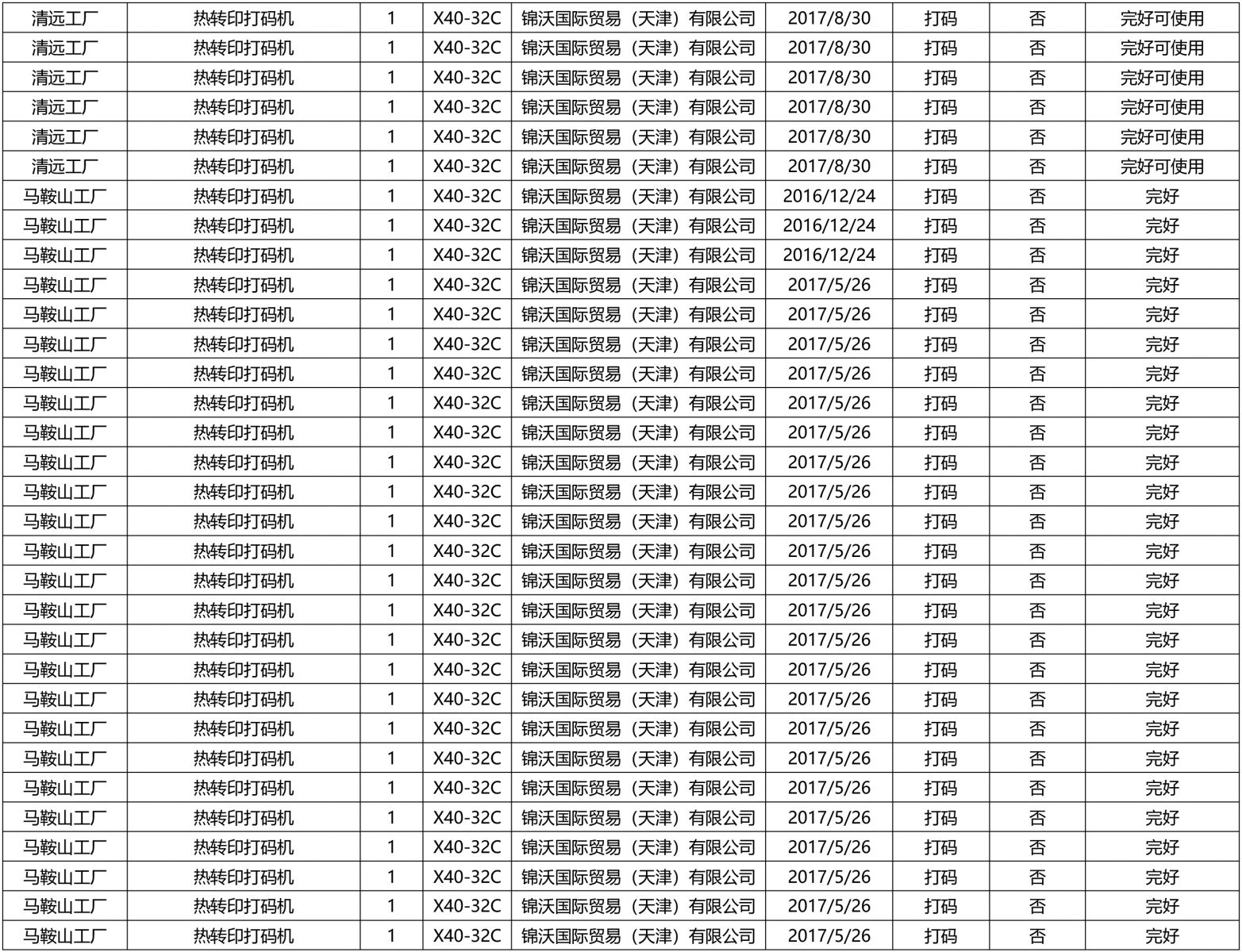
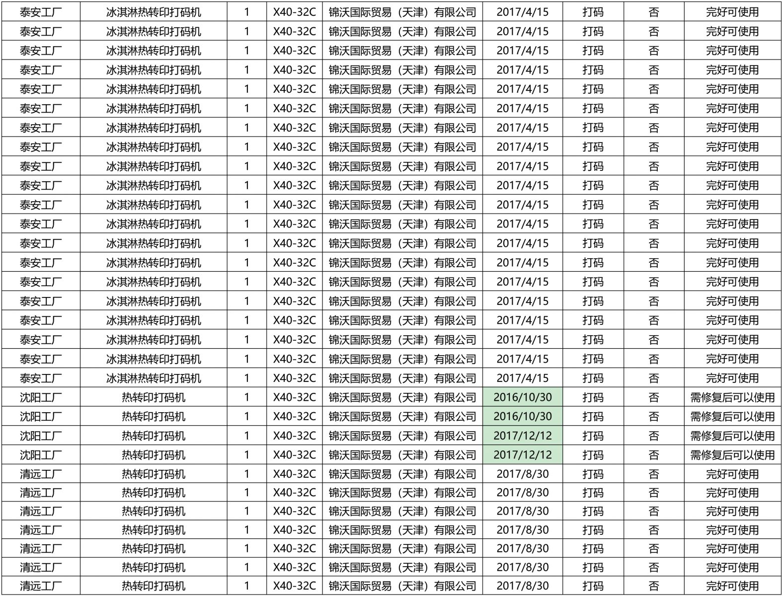
注:標的涉及多個工廠的熱轉印打碼機,如成交需與不同工廠簽訂購銷合同。
標的圖片:請見競拍頁面。
特別說明:
設備圖片只做為參考,以上處置標的以競買人實際看貨情況為準(競買人在競買前自行認真核實,查驗標的信息,自行判斷標的現狀是否符合資料描述,如競買成功,競價成交方應自行承擔全部責任),委托方不做任何質量保證;
標的所在地:焦作25臺、泰安23臺、沈陽4臺、清遠13臺、馬鞍山40臺
有意競買者請于2022年4月25日前繳納競買保證金,并與我公司聯系辦理競買手續。
保證金支付賬號
戶名:金諾國際拍賣集團有限公司;
賬號:000000726003800003937;
開戶行:齊魯銀行濟南歷城支行
聯系電話:郭經理13274715556 0531-88815869
所有競價標的均以現場實際勘驗為準,我公司不承擔任何瑕疵擔保責任,所提供標的簡介、圖片僅供參考。
金諾國際拍賣集團有限公司
2022年4月14日
| 上一篇:抄底價,潛力廣告牌 ——5月24日山東省高速公路廣 | 下一篇:【競價公告】4月26日,呼和浩特市廢舊設備競價會! |
